Предмет: Физика,
автор: dimaleon19022007
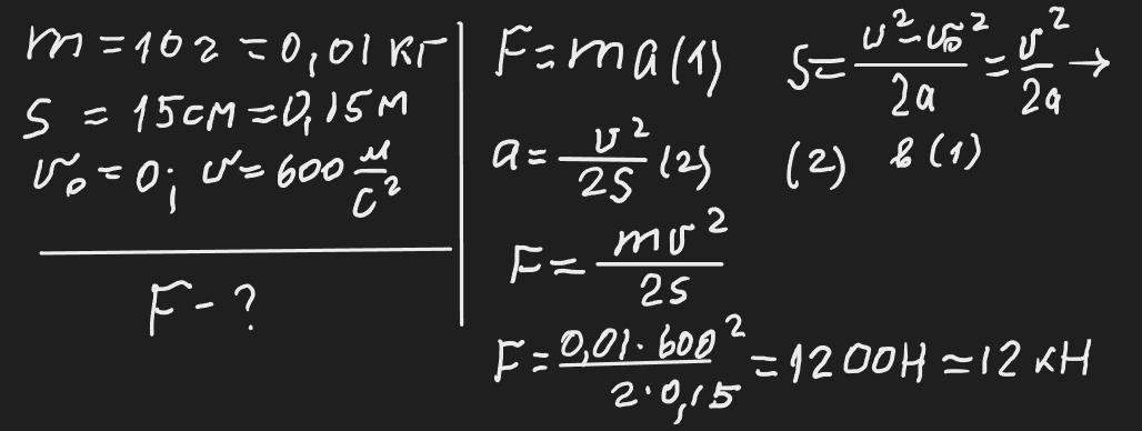
Знайдіть силу, з якою порохові гази тиснуть на кулю, масою 10 г. Довжина ствола пістолета 15 см, швидкість вильоту кулі з пістолета 600 м/с. Рух кулі в стволі рівноприскорений.
Ответы
Автор ответа:
1
Відповідь: 12 кН
Пояснення:
Приложения:
Похожие вопросы
Предмет: Английский язык,
автор: zlatoslavasur
Предмет: Литература,
автор: dhdhbsha555
Предмет: Информатика,
автор: xbgjejxi
Предмет: Английский язык,
автор: oganes70
Предмет: Русский язык,
автор: Аноним