Предмет: Алгебра,
автор: pupil5d32020
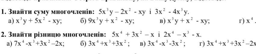
Решите даю 20 балов
Приложения:
pupil5d32020:
Просто нужно выбрать ответ!
Ответы
Автор ответа:
0
Ответ:
Думаю так..если нет то прости пожалуйста
1)
2)
Ой не напичаталось
1) а
2) г
Спасибо)
Похожие вопросы
Предмет: История,
автор: lubasakovalenko1971
Предмет: Математика,
автор: zovatelp3
Предмет: Английский язык,
автор: kuksenkokarolina
Предмет: Алгебра,
автор: 79533332854