Предмет: Алгебра,
автор: ciellllll
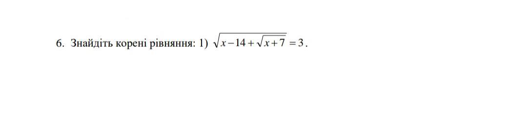
Помогите пожалуйста? Только нужно расписать задание, и сделать все подсчёты....
Приложения:
Ответы
Автор ответа:
1
Делал при помощи приложения, которое никогда не ошибается, так как это искусственный интеллект
Приложения:
ciellllll:
Спасибо!
Похожие вопросы
Предмет: Українська мова,
автор: sergeytkashenko1900
Предмет: Українська література,
автор: lenaostrovskay12345
Предмет: Математика,
автор: stepanovaasofkaa
Предмет: Геометрия,
автор: EHoTikBS
Предмет: Алгебра,
автор: appspro2144