Предмет: Математика,
автор: zhangazina4a
помогите пожалуйста
Приложения:
Ответы
Автор ответа:
0
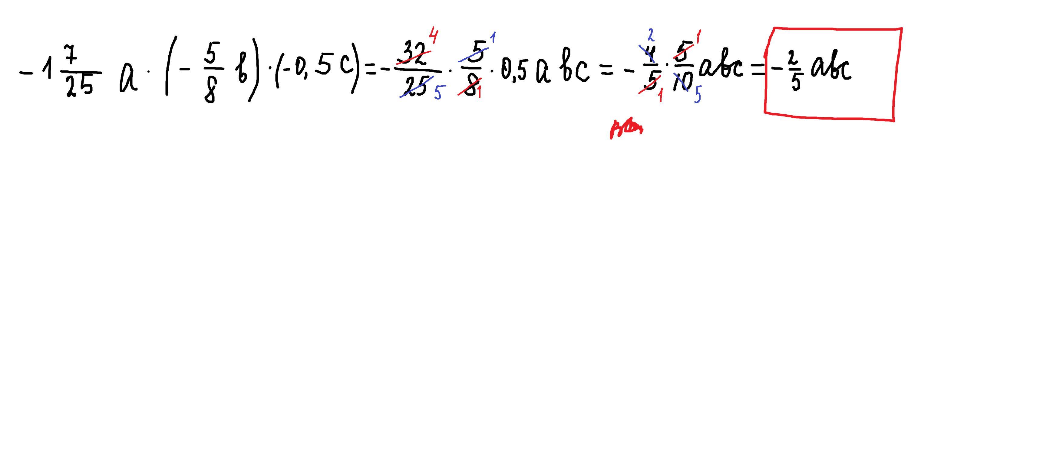
Ответ:
-2/5 abc
Пошаговое объяснение:
решение внизу
три минуса при умножении дают опять минус
Приложения:
Похожие вопросы
Предмет: Математика,
автор: Аноним
Предмет: Английский язык,
автор: lomakatv89
Предмет: Алгебра,
автор: bulateckadarina
Предмет: Русский язык,
автор: igorts