Предмет: Алгебра,
автор: mg2570876
Даю 50 балов
Решить пример
Приложения:
Ответы
Автор ответа:
0
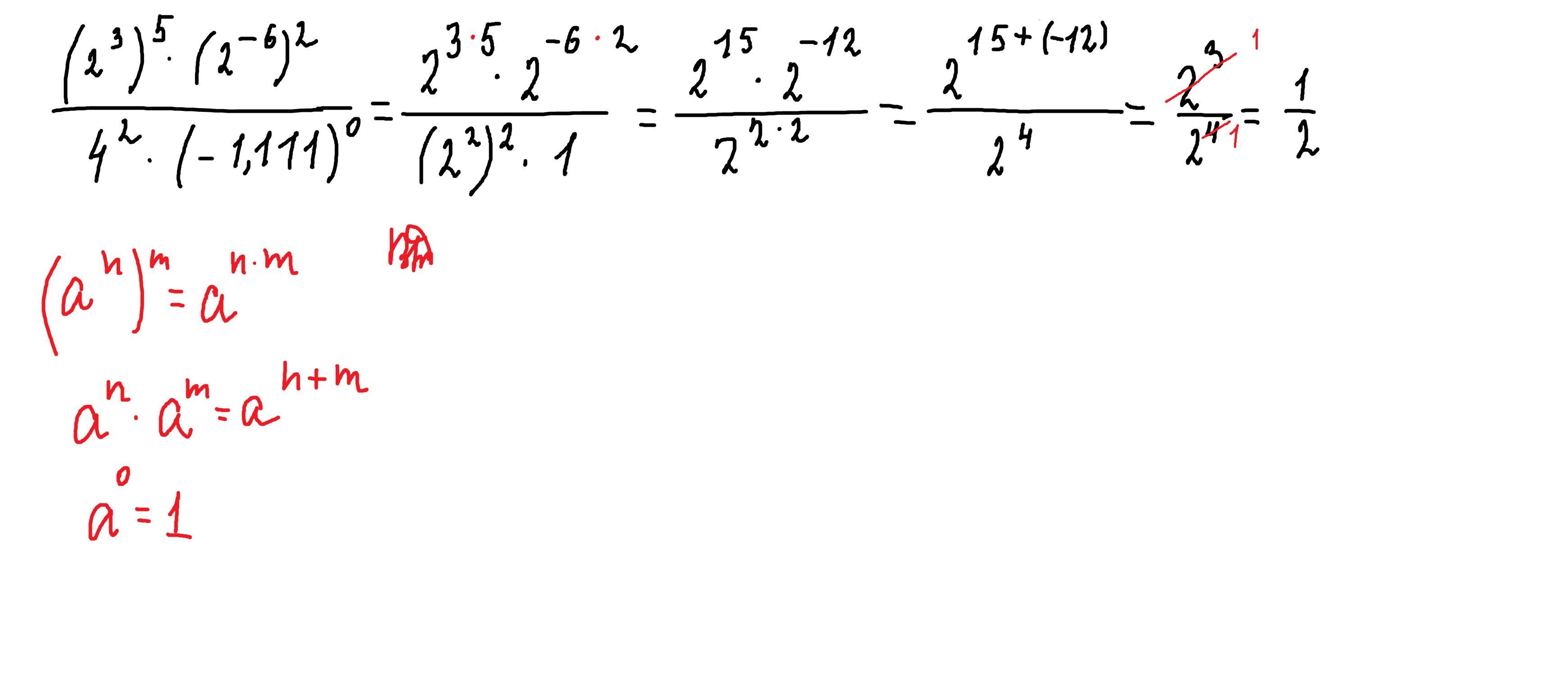
Ответ:
1/2
Объяснение:
решение и формулы внизу
Приложения:
Похожие вопросы
Предмет: Українська мова,
автор: barboszikos
Предмет: Қазақ тiлi,
автор: DOLALOVE123
Предмет: Физика,
автор: Bguhck10
Предмет: Геометрия,
автор: boltakdara
Предмет: Химия,
автор: dashakorshova