Предмет: Алгебра,
автор: metal35
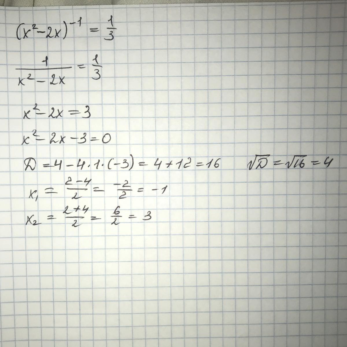
(х^2-2х)^-1=1/3 Помогите пожалуйста. Даю 40 баллов
Ответы
Автор ответа:
1
Решение смотри на фото
Приложения:
metal35:
Большое спасибо
Похожие вопросы
Предмет: География,
автор: zaxarvasynkin
Предмет: Право,
автор: viktoria964
Предмет: Оʻzbek tili,
автор: 7781643535a
Предмет: Английский язык,
автор: marina0644
Предмет: Геометрия,
автор: kalininevgeniy21