Предмет: Алгебра, автор: acelovek294

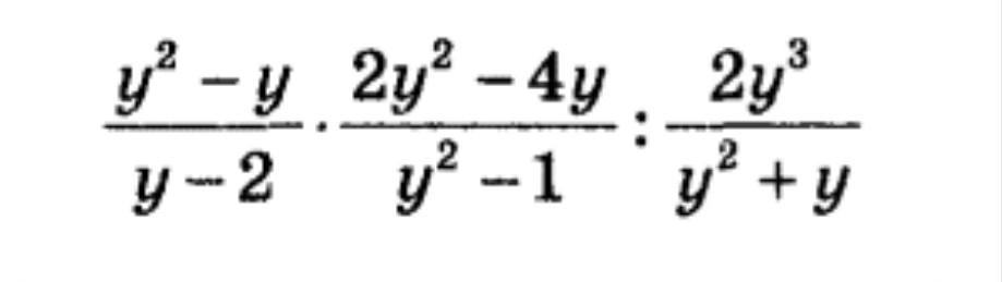
знайдіть добуток , і частку дробу ​

Приложения:

Ответы

Автор ответа: wasss78
0

Ответ:

 \frac{y \times (y - 1)}{y - 2} \times  \frac{2y \times (y  - 2)}{(y - 1) \times (y + 1)} \times  \frac{y { } ^{2}  + y}{2y {}^{3} }

y \times  \frac{1}{y + 1} \times  \frac{y \times (y + 1)}{y {}^{2} }

 \frac{y}{y}

1

Похожие вопросы
Предмет: Математика, автор: ADSFDFD