Предмет: Математика,
автор: KVolkovaKamila
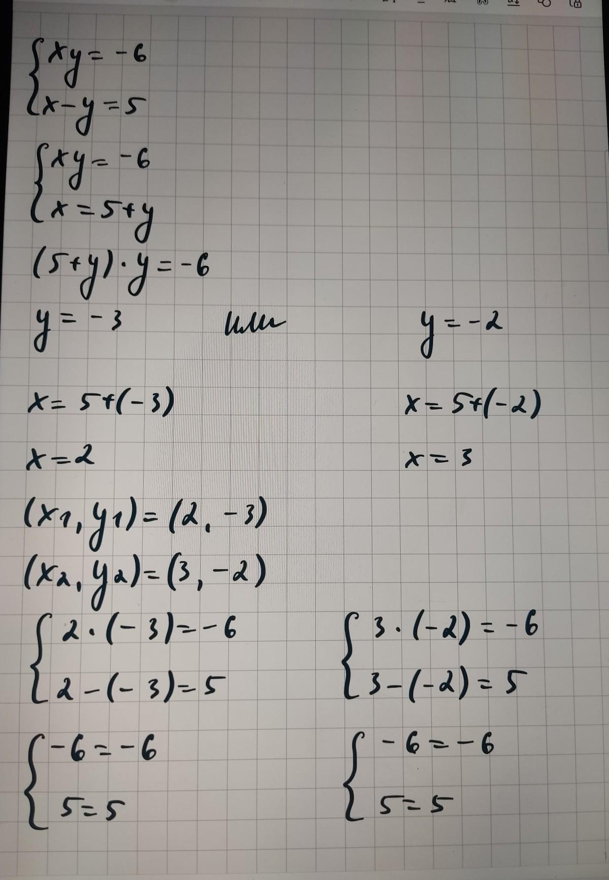
Розв'яжи систему рівнянь методом підстановки:
Приложения:
Ответы
Автор ответа:
1
Ответ:
Если что-то непонятно, напиши в комментах :)
Приложения:
KVolkovaKamila:
спасибо, всё понятно)
отлично! желаю успехов в учебе!)
спасибо!!!!)
Похожие вопросы
Предмет: Математика,
автор: 20rami23
Предмет: История,
автор: kirilllara333
Предмет: Українська мова,
автор: nastyaperesipkina160
Предмет: Математика,
автор: zarskalesa
Предмет: Русский язык,
автор: polina1927er