Предмет: Алгебра,
автор: kawyn2209
ПОЖАЛУЙСТА ПОМОГИТЕ
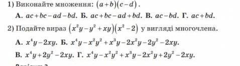
1) Виконайте множення: (a+b)(c-d).
A. ac+be-ad-bd.
Б. ac+be-ad+bd.
B. ac-bd.
Г. ac+bd.
Приложения:
Ответы
Автор ответа:
1
Ответ:
ответ A
Объяснение:
слава RUSSIA
Похожие вопросы
Предмет: Математика,
автор: yanamartynukua
Предмет: Физика,
автор: artidot220510
Предмет: Английский язык,
автор: heltyraa888
Предмет: Биология,
автор: diankatool
Предмет: География,
автор: mycikpro