Предмет: Алгебра,
автор: Аноним
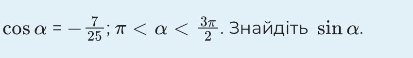
Знайдіть sin a
1. 24/25
2. -24/25
3. -25/24
Приложения:
Ответы
Автор ответа:
1
Ответ:
sin α= -24/25
Объяснение:
решение внизу
Приложения:
Похожие вопросы
Предмет: Математика,
автор: kovalevnikolas13
Предмет: Литература,
автор: kzarkova396
Предмет: Українська мова,
автор: ka0134736
Предмет: Қазақ тiлi,
автор: GRD2002