Предмет: Алгебра, автор: Simba2017

...................................

Приложения:

IUV: x Є {(1;2}U[999; беск)}
Simba2017: неверно
Simba2017: распишите-может вместе ошибку найдем
IUV: я уже проверил в экселе, вижу что неверно
IUV: x Є (1;3]
Simba2017: да, решали или там же искали?
IUV: я всегда решаю сам
Simba2017: хорошо
IUV: выкладывать решение или дадим шанс другим ?
Simba2017: как хотите- мне не срочно

Ответы

Автор ответа: IUV
3

Відповідь:

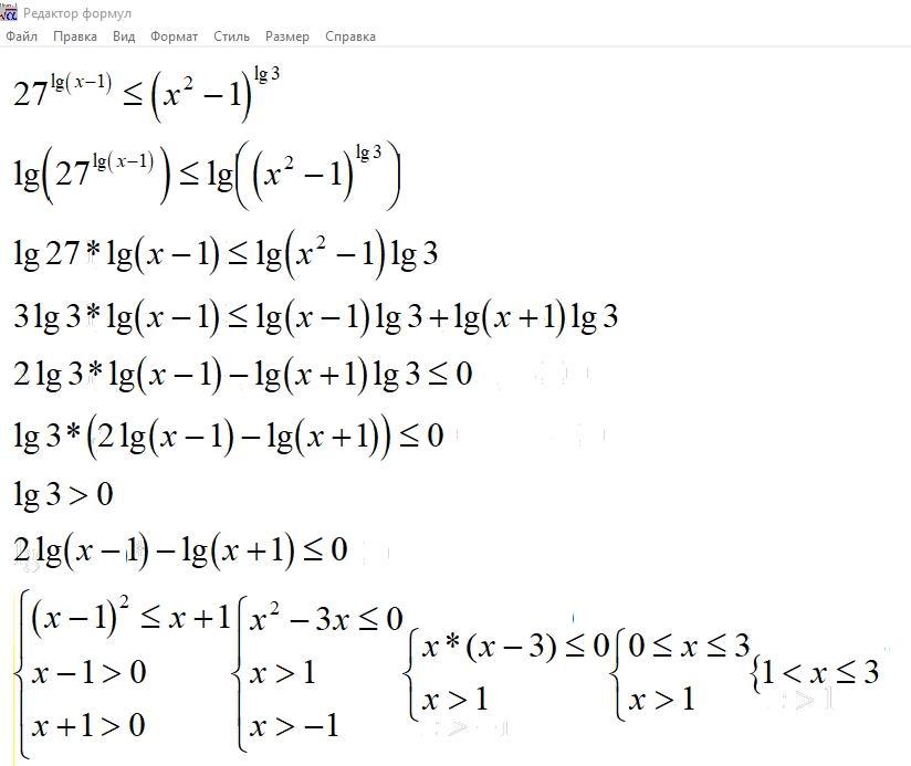
у вкладенні

Пояснення:

Приложения:

Simba2017: lg(a^x)=lgx*lga-это откуда?
Simba2017: поняла, порядок просто другой...
Simba2017: спасибо!
semyanovn: вы это в каком классе проходите
semyanovn: ? втчтчт
Simba2017: я уже не прохожу! это пример изи Ященко 2023
semyanovn: а в каком классе продила
IUV: свойство логарифма - lg(a^x)=x*lg(a)
в нашем случае lg(a^(lg(x))=lgx*lg(a)
Simba2017: я все поняла, спасибо Вам!
Похожие вопросы
Предмет: Алгебра, автор: profaraonskeleton
Предмет: Українська мова, автор: dariana23558
Самостійна робота
Завдання в тестовій формі

1. Прийменники записано в рядку
А без, всупереч, би, під
Б в, який, проміж, уздовж
В між, щоб, понад, напереріз
Г під, над, поза, з-під
2. Прийменники записано в рядку
А близько, завдяки, нехай, до
Б серед, біля, у, на
В бо, на противагу, з-між, проміж
Г перед, згідно з, об, би
3. Прийменник є в кожному реченні, ОКРІМ
А Віки минули, понад кручі звисає райдуги крило.
Б Джериха наварила на вечерю кулешу.
В Золотими вечорами думав Шевченко про свою Україну.
Г Прогуло прокляте лихо та й заснуло.
4. Прийменник є в кожному реченні, ОКРІМ
А До святощів українського народу зараховуємо пошану до матері.
Б День Матері – це злука сердець дітей.
В У всі віки жінка-мати завжди була охоронницею дому.
Г У розрадах мами наше серце завжди знаходить спокій.
5. Прийменник є в кожному реченні, ОКРІМ
А Найрідніша нам та земля, яку сходили ми босими ногами.
Б Людину прив’язує до певного місця на землі дім.
В Людина без берега дитинства стає забудькуватою.
Г За пошану до батьків Біблія обіцяє добро, благополуччя.
6. Прийменник виділено в реченні
А Машина під’їхала близько до будинку.
Б Спортсмени бігали навколо стадіону
В Закарпаття – чудовий край.
Г Навколо стояла тиша.
7. Прийменник виділено в реченні
А Учні всієї школи стали в коло.
Б Ми зустрілись востаннє.
В Із-за лісу виднівся рожевий край неба.
Г Край дороги вітер гне тополю до самого долу.
8. Усі прийменники пишуться разом

А незалежно/від, на/перед, з/під, за/ради, з/за
Б по/між, згідно/з, під/час, в/продовж, з/поміж;
В в/наслідок, до/вкола, в/здовж, на/вколо, що/до;
Г на/впроти, відповідно/до, незалежно/від, о/крім, по/за.
9. Усі прийменники пишуться через дефіс
А із/за, з/під, з/попід, з/поміж, з/посеред
Б з/поза, з/за, в/наслідок, по/при, не/зважаючи/на
В за/для, за/ради, по/серед, по/руч, в/наслідок
Г в/продовж, що/до, з/метою, за/допомогою, по/серед
10. Усі прийменники правильно записано в рядку
А не зважаючи на, з метою, задля, посеред, з-поміж
Б внаслідок, з-перед, з-поза, з-поміж, заради
В по між, окрім, навкруги, поруч з, із-за
Г попід, понад, по при, поперед, з-попід
11. Усі прийменники правильно написано в рядку
А з-над, понад, попід, з-попід, поряд
Б заради, за винятком, посеред, з-за, за для
В на випадок, незважаючи на, з метою, в продовж, з під
Г задля, з поміж, в супереч, вздовж, опріч, що до
12. Помилково вжито прийменник у словосполученні
А подумати про брата
Б рятувати од ворога
В з будь-якого приводу
Г ухвала на клопотання
13. Помилково вжито прийменник у словосполученні
А пливти за течією
Б заняття по психології
В відсутній через хворобу
Г зупинка на вимогу
14. Помилково вжито прийменник у словосполученні
А поставити за приклад
Б п’єса на три дії
В йти за водою
Г рятувати від негоди
15. Граматично правильно побудовано словосполучення
А перекласти українською
Б спізнитися із-за необережності
В виконати за вимогою
Г філолог по спеціальності