Предмет: Математика,
автор: Аноним
Перевіряємо людей 1012 ДАЄМО 100 БАЛІВ
Приложения:
Ответы
Автор ответа:
2
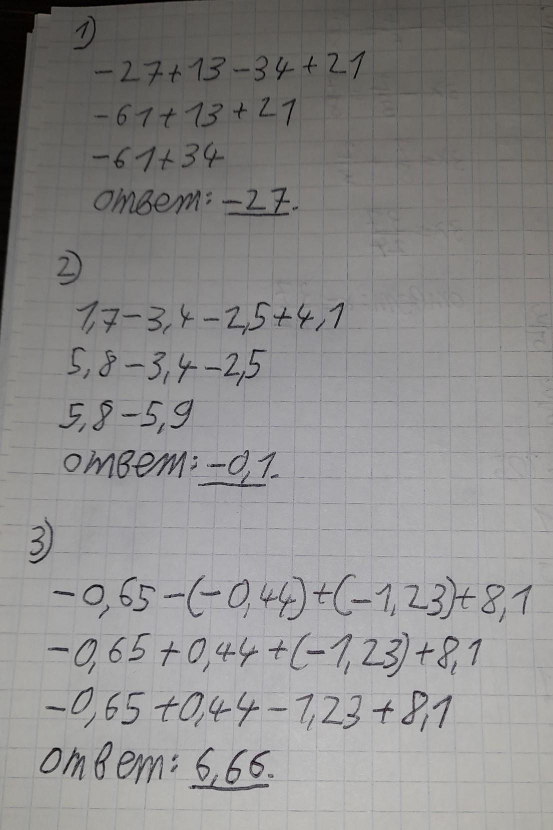
Ответ:
смотри на фото
Пошаговое объяснение:
Постав лайк пж
Приложения:
Похожие вопросы
Предмет: Қазақ тiлi,
автор: ЯМэри
Предмет: Русский язык,
автор: lekoshka
Предмет: Математика,
автор: kseniyasvistak
Предмет: Математика,
автор: kristenaolegovna91
Предмет: Русский язык,
автор: Dimaevgoet