Предмет: Математика,
автор: alina07875
ПОМОГИТЕ ПОЖАЛУЙСТА 45 БАЛОВ ЗА ВСЁ ТРИ ПРИМЕРА!!!! С ПОЯСНЕНИЯМИ!!!!
Приложения:
Ответы
Автор ответа:
0
Пошаговое объяснение:
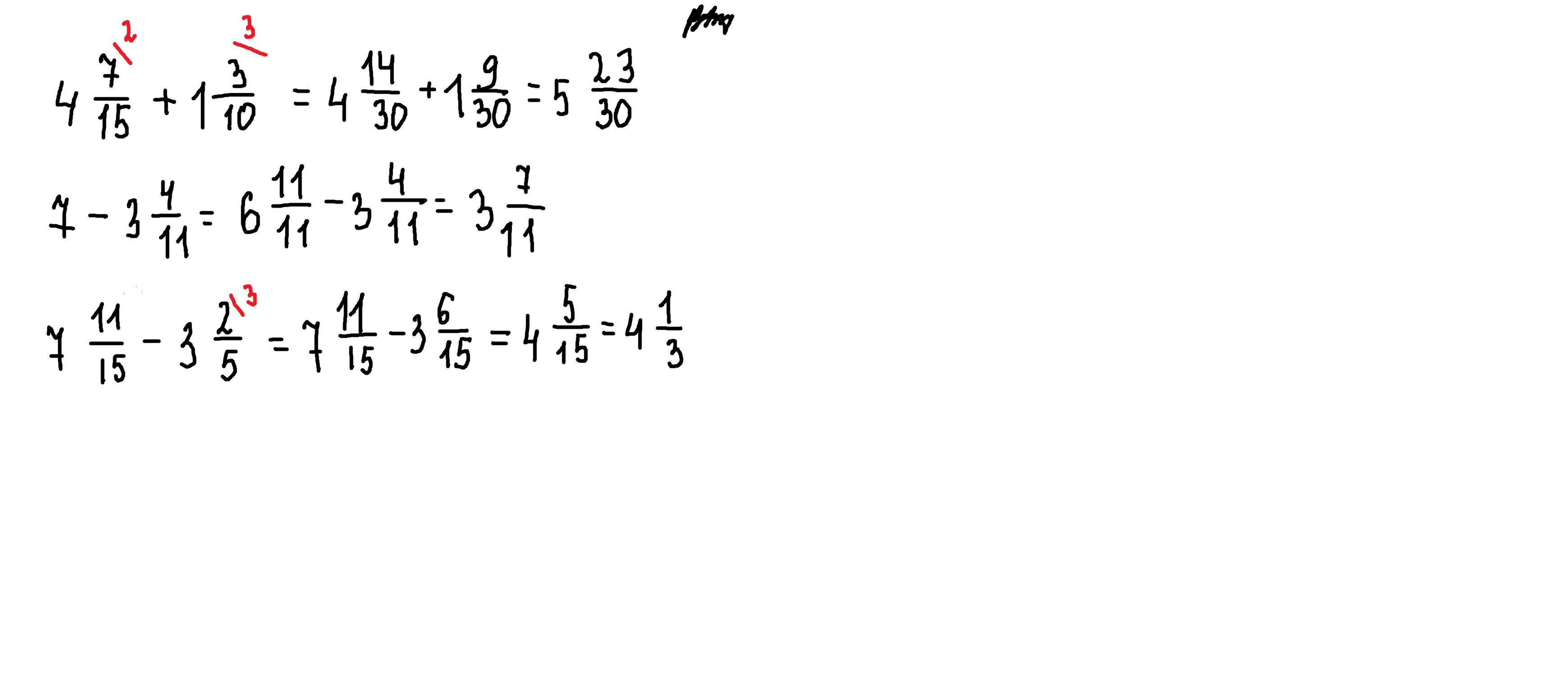
4 7/15 +1 3/10 = 4 14/30 + 1 9/30 = 5 23/30 ;
7 - 3 4/11 = 3 7/11;
7 11/15 - 3 2/5 = 7 11 /15 - 3 6/15 = 3 5/15 ( 1/3)
Автор ответа:
0
Ответ:
Пошаговое объяснение:
решение внизу
Приложения:
Похожие вопросы
Предмет: История,
автор: vikash150608
Предмет: Биология,
автор: zaglena83
Предмет: География,
автор: mxxqwss
Предмет: Математика,
автор: gbrrggggef
Предмет: Математика,
автор: yuliaVit