Предмет: Алгебра,
автор: lev08n
Помогите умоляю даю 20 баллов
Приложения:
Ответы
Автор ответа:
1
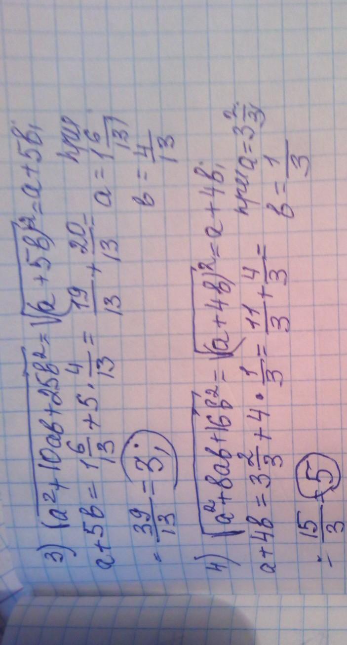
розв'язок задачі і відповіді на фото
Приложения:
Похожие вопросы
Предмет: Українська мова,
автор: kovalnata762
Предмет: История,
автор: dzhantykovas
Предмет: Английский язык,
автор: hvorostinadasa164
Предмет: Русский язык,
автор: ladyhnessaaa
Предмет: Русский язык,
автор: tsdlml2