Предмет: Алгебра, автор: kazloana2

срочно нужно
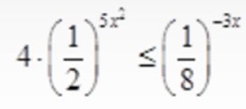
Решить неравенство:

Приложения:

Ответы

Автор ответа: himikomat
0

Ответ:

4 \times  {( \frac{1}{2} )}^{ {5x}^{2} }  \leqslant  {( \frac{1}{8} )}^{ - 3x}

 {2}^{2}  \times  \frac{ {1}^{ {5x}^{2} } }{ {2}^{ {5x}^{2} } }  \leqslant {( \frac{1}{8} )}^{ - 3x}

 {2}^{2}  \times  \frac{1}{ {2}^{ {5x}^{2} } }  \leqslant  {8}^{3x}

сокращаем на общий делитель 2²:

 \frac{1}{ {2}^{ {5x}^{2}  - 2} }  \leqslant  {8}^{3x}

 \frac{1}{ {2}^{ {5x}^{2}  - 2} }  \leqslant  {( {8}^{3}) }^{x}

 \frac{1}{ {2}^{ {5x}^{2}  - 2} }  \leqslant  {512}^{x}

 {2}^{ - ( {5x}^{2} - 2) }  \leqslant  {( {2}^{9} )}^{x}

 {2}^{ - ( {5x}^{2} - 2) }  \leqslant  {2}^{9x}

 {2}^{ -  {5x}^{2} + 2 }  \leqslant  {2}^{9x}

  { - 5x}^{2}  + 2 \leqslant 9x

 { - 5x}^{2}  + 2 - 9x \leqslant 0

 { - 5x}^{2}  - 9x + 2 \leqslant 0

 { - 5x}^{2}  + x - 10x + 2 \leqslant 0

 - x(5x - 1) - 2(5x - 1) \leqslant 0

 - (5x - 1)(x + 2) \leqslant 0

 - 1 \times ( - (5x - 1))(x + 2) \geqslant  - 1 \times 0

(5x - 1)(x + 2) \geqslant 0

\begin{cases}5x - 1 \geqslant 0 \\ x + 2 \geqslant 0 \end{cases}  \\ \begin{cases}5x - 1 \leqslant 0 \\ x + 2 \leqslant 0 \end{cases} </p><p>

5x - 1 \geqslant 0 \\ 5x \geqslant 1 \\  \div 5 \\ x \geqslant  \frac{1}{5}

x + 2 \geqslant 0 \\ x + 2 - 2 \geqslant 0 - 2 \\ x \geqslant  - 2

5x - 1 \leqslant 0 \\ 5x \leqslant 1 \\  \div 5 \\ x \leqslant  \frac{1}{5}

x + 2 \leqslant 0 \\ x + 2 - 2 \leqslant 0 - 2 \\ x \leqslant  - 2

\begin{cases} x \geqslant  \frac{1}{5} \\ x \geqslant  - 2 \end{cases}  \\ \begin{cases}x \leqslant  \frac{1}{5}  \\ x \leqslant  - 2 \end{cases}

x\in[\frac{1}{5}, +\infty&gt; \\ x\in&lt;-\infty, -2]

x\in&lt;-\infty, -2] U [\frac{1}{5}, +\infty&gt;

Похожие вопросы
Предмет: Физика, автор: pasinuk11