Предмет: Физика, автор: derkachmykhailo65

Колесо велосипеда за 1,5 хв здійснює 90 обертів. Яким є період обертання колеса? Відповідь подайте у секундах.

Поможіть пж


Буду дуже вдячний!!

Ответы

Автор ответа: w1ntte1
2

Ответ: 1 c⁻¹

Объяснение:

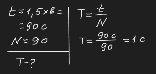
t = 1,5хв = 90с

T = t / N = 90 / 90 = 1 c⁻¹

Автор ответа: zybkov1950
1

Відповідь: 1 с

Пояснення:

Приложения:

w1ntte1: c^01
w1ntte1: c^-1*
Похожие вопросы
Предмет: Другие предметы, автор: veronikaklymenko2022
Предмет: Английский язык, автор: nikrasova601
Предмет: Математика, автор: romanturdaj