Предмет: Математика,
автор: seredaolga28
ПОМОГИТЕ СРОЧНО!це пропорції
Приложения:
Ответы
Автор ответа:
0
3х-7,2=у
у/0,45=2/3
у=0,3
3х-7,2=0,3
3х=7,2+0,3
3х=7,5
х=7,5/3
х=2,5
Автор ответа:
1
Ответ:
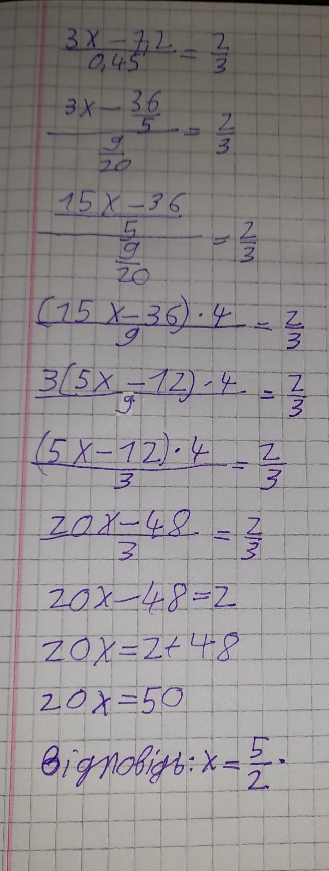
смотри на фото.
Пошаговое объяснение:
.........
Приложения:
seredaolga28:
Спасибо огромное!
незачто
Похожие вопросы
Предмет: Литература,
автор: djanka75
Предмет: Русский язык,
автор: kazakstanntarazx
Предмет: Українська мова,
автор: kivadenys
Предмет: Химия,
автор: eliza170
Предмет: МХК,
автор: gulnartolemisova53