Предмет: Физика, автор: nacklwb

ВІРІШІТЬ ЗАДАЧУ ,ДАЮ 50 балів
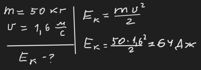
Якою є ваша кінетична енергія, коли ви йдете з середньою швидкістю?

Ответы

Автор ответа: zybkov1950
1

Відповідь: 64 Дж

Пояснення:

Приложения:
Похожие вопросы
Предмет: Қазақ тiлi, автор: ajsahadzibaj
АЙТЫЛЫМ 6 -тапсырма. Мәтіндегі ақпараттың дұрыстығын тексер. Тусіндір. Ақпарат Әзілхан Нұршайықов 1922 жылдың 15 желтоқсанында туған. Ол Алматы облысында дүниеге келген Семейдегі Мұхтар Әуезов атындағы педагогикалык институтында окыды. Ол - Ұлы Отан соғысына қатыспаған жазушы. ГӘзілхан Нұршайықов еңбек жолын дәрігер болып бастаған. Кеп жылдар Қазақстан Жазушылар Одағы проза кеңесінің, жас 6 әдебиетшілер кеңесінің төрағасы қызметін атқарған. Ол Әдебиет және өнер институтында ғылыми қызметкер болып еткен. Әзілхан Нұршайықов шығармашылық жолын мұғалім ретінде бастаған. Оның шығармалары баспасөзде, газеттерде жарияланып тұрған. Тың игерушілердің өміріне арналған алғашқы очерктер жинағы - «Махаббат жыры» 1956 жылы жарық көрген. Әзілхан Нұршайықов II дәрежелі «Отан соғысы» орденімен, бiрнеше медальмен марапатталған. Жазушының шығармалары негізінен Отан соғысы және еңбек ардагерлерінің өмірін үлгі етуге арналған. Көрнекті жазушы 2011 жылы қайтыс болды.
Пожалуйста помогите ​