Предмет: Физика,
автор: jiji33
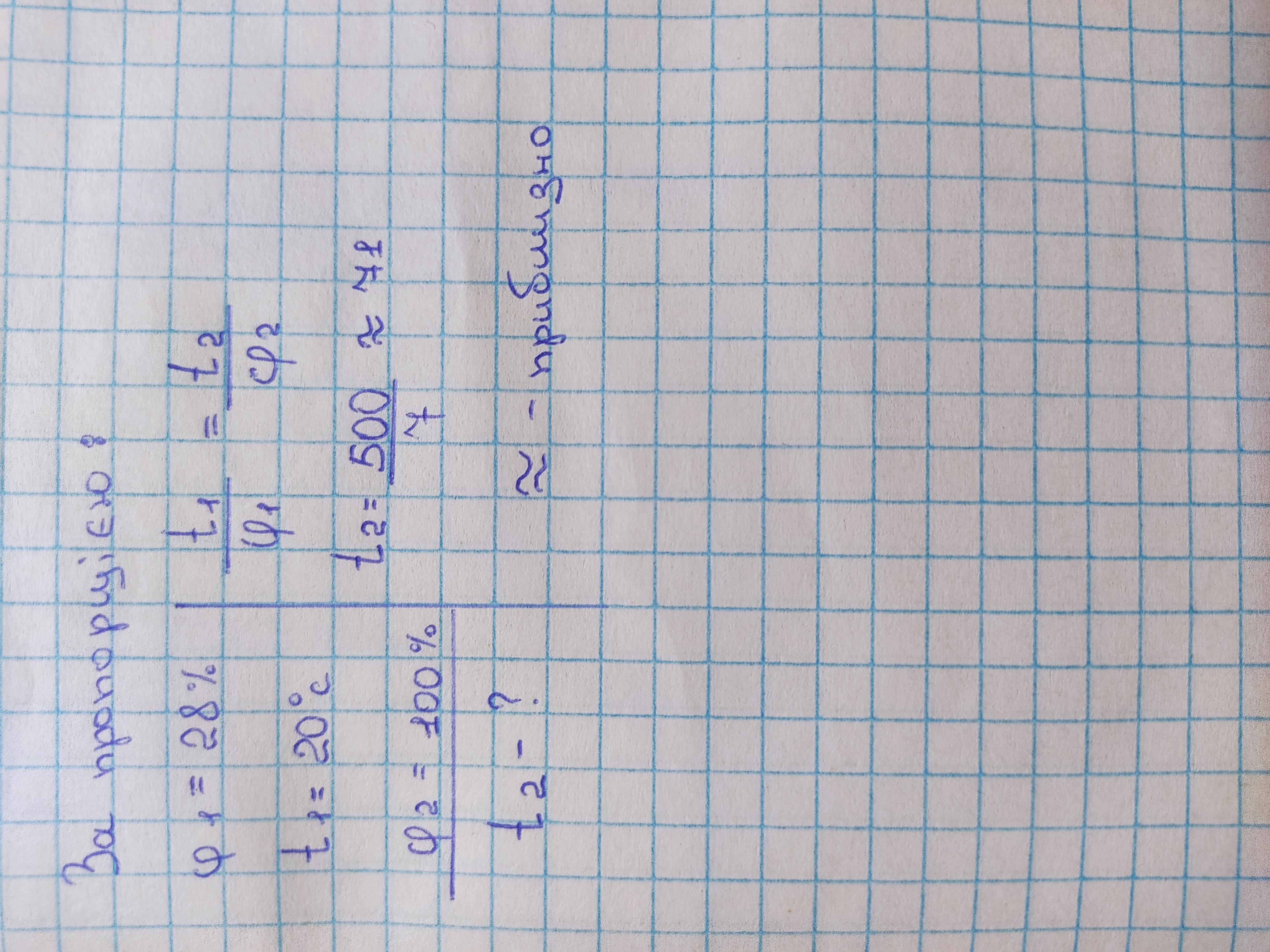
чому дорівнює точка роси повітря, відносна вологість якого за температури 20C cстановить 28%?
riinna:
Тобі потрібний повний розв'язок задачі?
так, дано і розв*язання
розв'яжеш? дуже потрібно
Ок, зараз зроблю
Зможеш позначити як найкращу відповідь, будь ласка?
ДЯКУЮ!!
Ответы
Автор ответа:
6
Дивись відповідь на фото↓
Приложения:
а как вы 500 откуда вы взяли?
и 7 тоже
Похожие вопросы
Предмет: Русский язык,
автор: arsenij7812
Предмет: Алгебра,
автор: IIYA404
Предмет: Физкультура и спорт,
автор: gajise7968
Предмет: Қазақ тiлi,
автор: maksknyaz2208
Предмет: Другие предметы,
автор: vika373187