Предмет: Физика,
автор: Аноним
Період коливань математичного маятника дорівнює 1 м. Визначте довжину нитки маятника.
Ответы
Автор ответа:
2
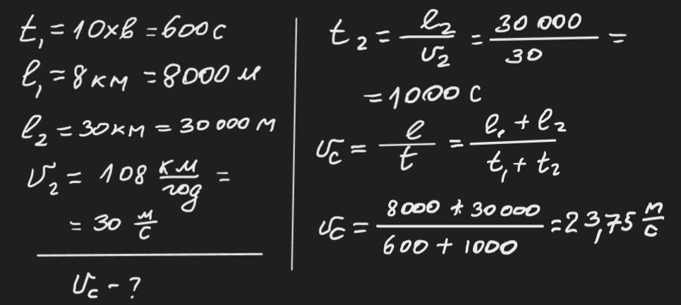
Відповідь: ≈ 25 см
Пояснення:
Приложения:
cnjnsonslso:
https://znanija.com/task/51063252
помогите, пожалуйста. Описати зображення по фото. Физика, 9 класс, 50 баллов.
Допоможіть мені будь ласка
Завдання у моєму профілі
Я Вам дам найкращу відповідь
Помогите пожалусто с моим последним вопросом
помогите пожалуйста задание у меня в профиле
Похожие вопросы
Предмет: Математика,
автор: Illyaaa22
Предмет: Алгебра,
автор: evo5board
Предмет: Математика,
автор: olijniksergij250
Предмет: Физика,
автор: borrrrrrrrrrfff
Предмет: Другие предметы,
автор: romario082007