Предмет: Алгебра, автор: aziret632

COST≤ 0.5 решите не равенство

Ответы

Автор ответа: ewiqwxx
0

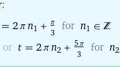
Ответ:

t=2 n n1 + n for n1 e z

_

3

Объяснение:

извини за качество все ответы на фото

Приложения:

ewiqwxx: тут не правильно все писала моя сис
Похожие вопросы
Предмет: Алгебра, автор: korolevishna2023
Предмет: Физика, автор: also42241Alexa