Предмет: Алгебра,
автор: kffkkcjcjfjt
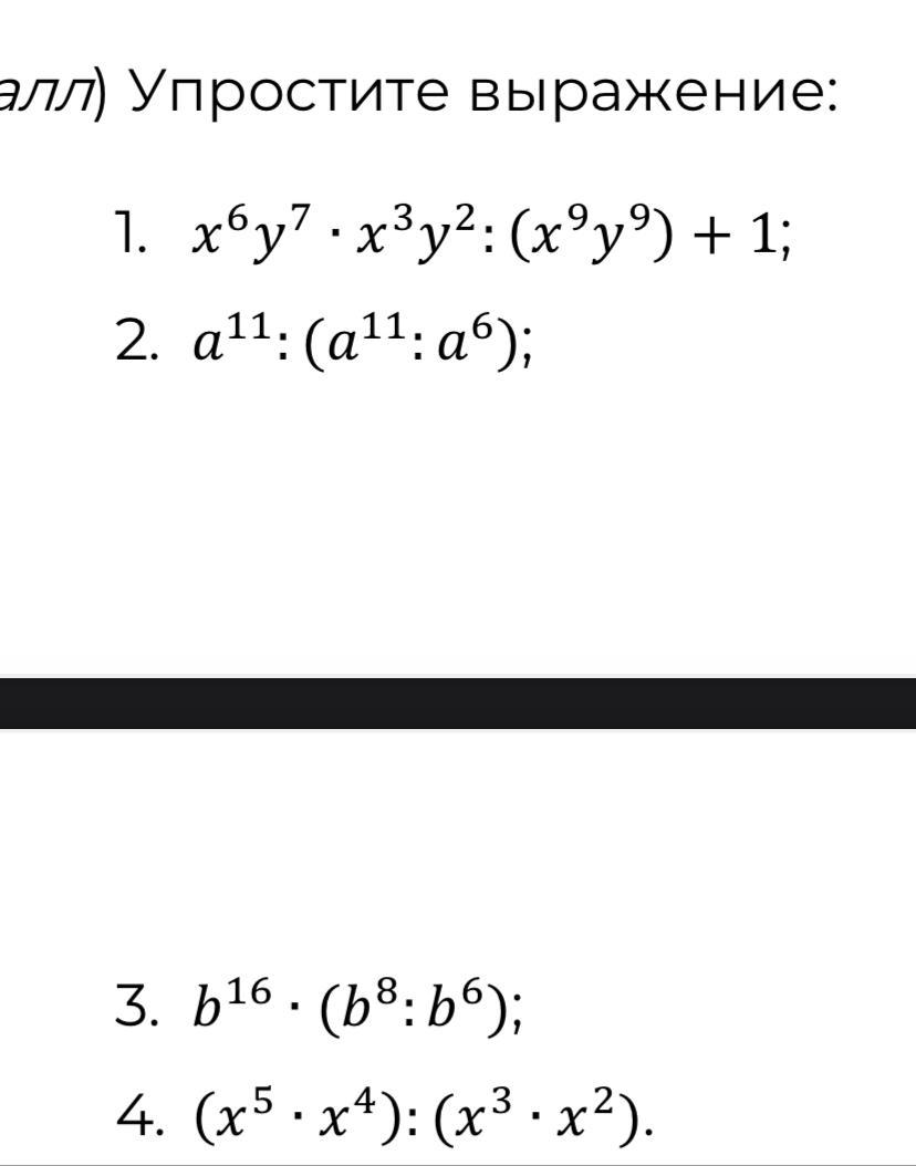
помогите срочно пожалуйста
Приложения:
Ответы
Автор ответа:
1
////////::::::::::////////////://
ответ:
ответ:
Приложения:
Похожие вопросы
Предмет: Русский язык,
автор: leesunan08
Предмет: Русский язык,
автор: zhvuzxs1
Предмет: Литература,
автор: zobkovabolka
Предмет: Биология,
автор: Dobr2007
Предмет: Математика,
автор: araiahmetollina