Предмет: Математика, автор: vovanavramenko565656

Допоможіть,будь ласка,з роботою по вищій математиці. Знайти похідну

Приложения:

Ответы

Автор ответа: natalyabryukhova
1

Ответ:

1.   \displaystyle        y'=\frac{12}{5\sqrt[5]{x^2} } +\frac{12}{x^3} -\frac{1}{\sqrt{x} } +2

2.   y'=3^x(8x^3-5+2x^4\;ln\;3-5x\;ln\;3)

Пошаговое объяснение:

Найти производную:

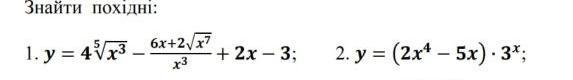
1.   \displaystyle        y=4\sqrt[5]{x^3}-\frac{6x+2\sqrt{x^7} }{x^3} +2x-3

2.   \displaystyle        y=(2x^4-5x)\cdot 3^x

  • Производная суммы равна сумме производных.
  • Формула:  \displaystyle\bf                (x^n)'=nx^{n-1}

1. Преобразуем данное выражение:

\displaystyle        y=4\sqrt[5]{x^3}-\frac{6x+2\sqrt{x^7} }{x^3} +2x-3=\\\\=4x^{\frac{3}{5} }-6x^{-2}-2x^{\frac{1}{2} }+2x-3

Производная равна:

\displaystyle        y'=4\cdot \frac{3}{5}x^{-\frac{2}{5} } -6\cdot (-2)x^{-3}-2\cdot \frac{1}{2}x^{-\frac{1}{2} }+2-0=\\ \\=\frac{12}{5\sqrt[5]{x^2} } +\frac{12}{x^3} -\frac{1}{\sqrt{x} } +2

  • Производная произведения: \displaystyle\bf        (uv)'=u'v+uv' ;  \displaystyle \bf     (a^x)'=a^x\cdot ln\;a

2. \displaystyle        y=(2x^4-5x)\cdot 3^x

Производная равна:

\displaystyle        y'=(2x^4-5x)'\cdot 3^x+(2x^4-5x)\cdot (3^x)'=\\ \\= (2\cdot4x^3-5)\cdot 3^x+(2x^4-5x)\cdot 3^x\cdot ln\;3=\\\\=3^x(8x^3-5+2x^4\;ln\;3-5x\;ln\;3)

Похожие вопросы
Предмет: Математика, автор: dirdamisa6
Предмет: Қазақ тiлi, автор: AselDim