Предмет: Физика,
автор: Аноним
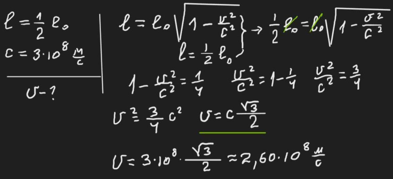
При якій відносній швидкості руху тіла відбувається скорочення
його довжини на 50%?
Ответы
Автор ответа:
4
Відповідь: Див. додаток
Пояснення:
Приложения:
Похожие вопросы
Предмет: История,
автор: belaevasofa548
Предмет: Другие предметы,
автор: aaastrothunder
Предмет: Биология,
автор: kkatyamakovey85
Предмет: История,
автор: Аноним
Предмет: Математика,
автор: Аноним