Предмет: Алгебра,
автор: Ragnakech
9 класс алгебра
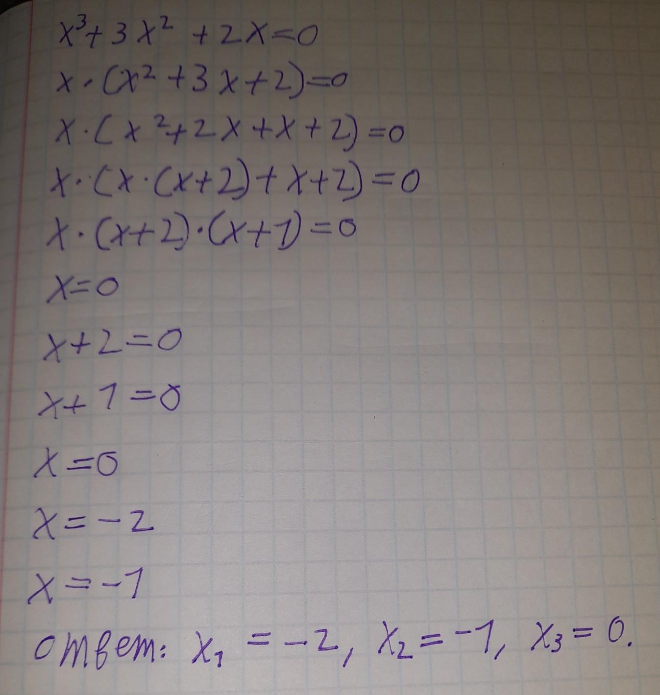
X³+3x²+2x=0
Решите уравнение
Ответы
Автор ответа:
2
Ответ:
смотри на фото.
Объяснение:
.........
Приложения:
Похожие вопросы
Предмет: Литература,
автор: nabievibragim2010
Предмет: Українська мова,
автор: shpilkavol2012
Предмет: География,
автор: katerbazar
Предмет: Русский язык,
автор: zaxae