Предмет: Математика,
автор: tysukarina45
ПОМОГИТЕ СРОЧНО ПОЖАЛУЙСТА
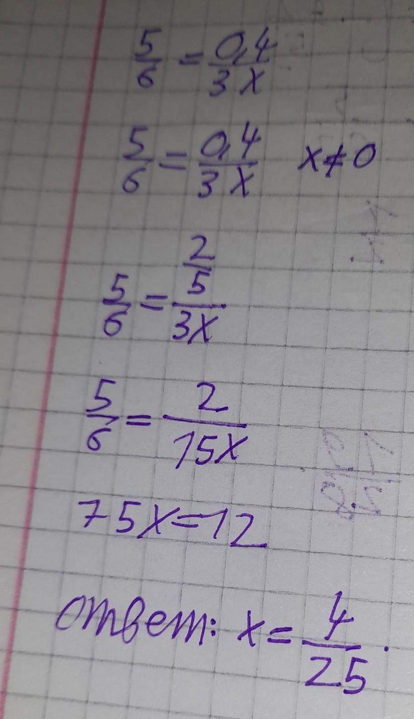
5/6=0,4/3x срочно нужно
Ответы
Автор ответа:
1
Ответ:
смотри на фото.
Пошаговое объяснение:
...........
Приложения:
gusejnovazulfia29:
Какой красивый подчеркр)))
Похожие вопросы
Предмет: Астрономия,
автор: zlm01
Предмет: Математика,
автор: marikpolyektov
Предмет: Биология,
автор: harzer
Предмет: Другие предметы,
автор: rzhargalova
Предмет: Литература,
автор: leryyyyyy2808