Предмет: Химия,
автор: elann0190
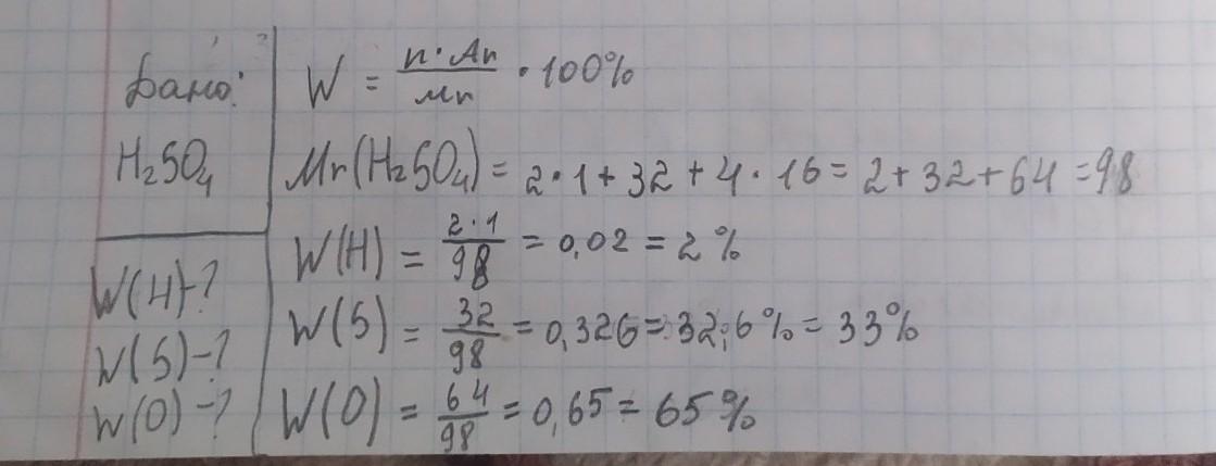
1.Обчисліть масові частки елементів у таких сполуках: Н2SO4, C6H12O6
2:
Приложения:
Ответы
Автор ответа:
1
Ответ:
відповідь прикріплена на фото
Приложения:
omegaukraina1:
дам
Похожие вопросы
Предмет: Математика,
автор: sofadautova17
Предмет: Математика,
автор: dasaaokiial
Предмет: Биология,
автор: Aljna200893
Предмет: Английский язык,
автор: Catonastik