Предмет: Алгебра,
автор: Helpmepleasiam
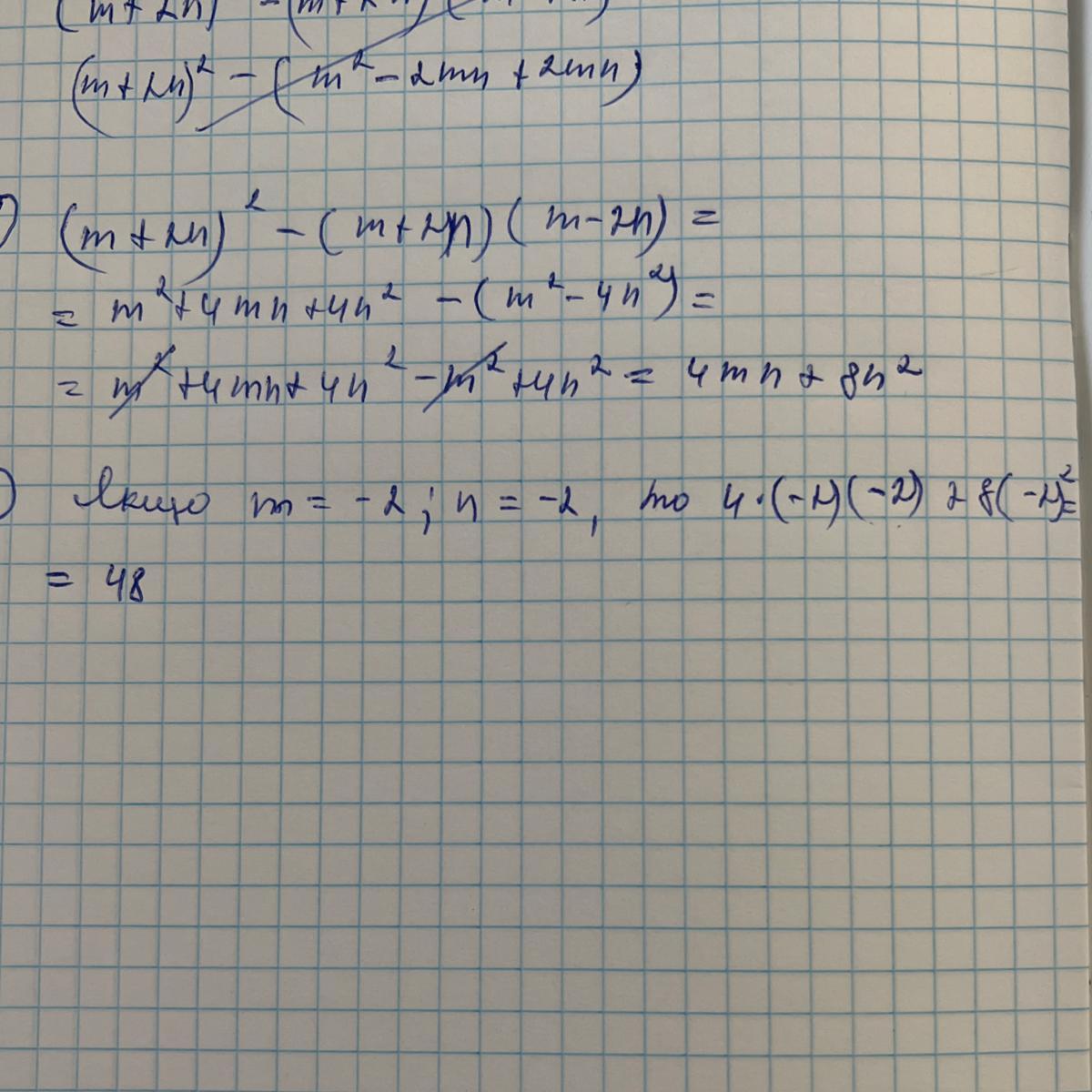
Спростити вираз (m+2n)²-(m+2n)(m-2n) і встановити значення виразу при m=-2, n=-2
СРОЧНО
Ответы
Автор ответа:
0
Ось зверху я закреслив те що не правильне
Приложения:
Похожие вопросы
Предмет: Алгебра,
автор: Lisikity
Предмет: Русский язык,
автор: basyek300387
Предмет: Французский язык,
автор: sergejakimcuk2010
Предмет: Математика,
автор: Аноним