Предмет: Физика,
автор: ulianagibina29
Человек на санках, общей массой 80 кг. спустился с ледяной горы высотой 5 м Чему равна средняя сила трения при его движении по горизонтальной поверхности если он проехал по горизонтали до остановки 25 м? Считать, что по склону торы санки скользили без трения
Ответы
Автор ответа:
1
При спуске с горки вся начальная потенциальная энергия перешла в кинетическую энергию у подножия горки, то есть:
Данная скорость уменьшалась до нуля (полной остановки) под действием силы трения, то есть, с ускорением:
получаем равенство:
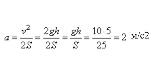
Пройденный до остановки путь можно выразить формулой:
откуда
м/с2
и сила трения равна
Н.
Ответ: 160.
Данная скорость уменьшалась до нуля (полной остановки) под действием силы трения, то есть, с ускорением:
получаем равенство:
Пройденный до остановки путь можно выразить формулой:
откуда
м/с2
и сила трения равна
Н.
Ответ: 160.
Приложения:
Похожие вопросы
Предмет: Математика,
автор: petrenkoe162
Предмет: Английский язык,
автор: lalallaukrakskwla08
Предмет: Английский язык,
автор: sasha2872
Предмет: Другие предметы,
автор: xdfkvhsdif
Предмет: История,
автор: Аноним