Предмет: Математика, автор: nika972083666

Границя послідовності і функція
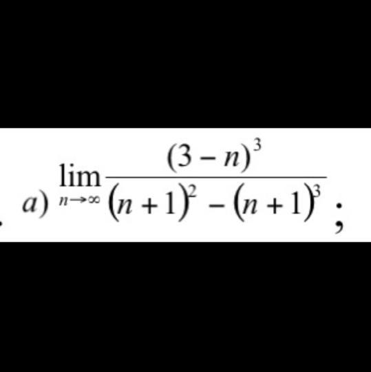
Обчислити границі:
Буду дуже вдячна❤️

Приложения:

Ответы

Автор ответа: dashulka22222
1

Відповідь:

Покрокове пояснення:

Приложения:

nika972083666: Если не будет сложно написать или на листике или где-то в программе фото не открываются
Буду очень благодарна вам
nika972083666: Спасибо
Не нужно открылось ❤️
Похожие вопросы
Предмет: Математика, автор: issenailin
Предмет: Окружающий мир, автор: sonaadrianova