Предмет: Алгебра,
автор: nyantram
допоможіть!!!!!!!!можна щоб всі відповіді були на листочку????тому що я тільки половину зрозумію
Приложения:
Ответы
Автор ответа:
0
Ответ:
1-А
2-В
Приложения:
Автор ответа:
0
Объяснение:
тобто у 1-А ; у 2-В
Додаткове пояснення:
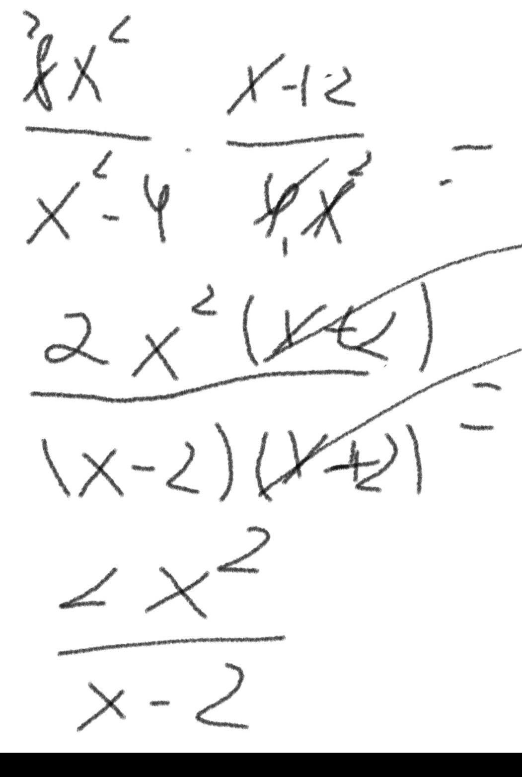
до 1-го завдання
х²-4 ми розклали за формулою;8х в степені і 4х в степені я зразу скоротила,числа скорочуються звичайно,а степені при ділені ти віднімаєш отже х⁴-х²=х²
До 2:
при піднесенні степеня до степеня ти просто множиш степені
Приложения:
Похожие вопросы
Предмет: Английский язык,
автор: veronikagolovatyuk25
Предмет: Українська мова,
автор: UADaryna
Предмет: Математика,
автор: Kotiuuu
Предмет: Русский язык,
автор: juliyayuliyama
Предмет: Математика,
автор: klimenkomatvey02