Предмет: Алгебра,
автор: VITBITIK
Помогите пожалуйста по Алгебре (даю 15 баллов)
Приложения:
Ответы
Автор ответа:
1
Ответ: x=2.5
Объяснение:
25√5 =
=> x=2.5
Автор ответа:
1
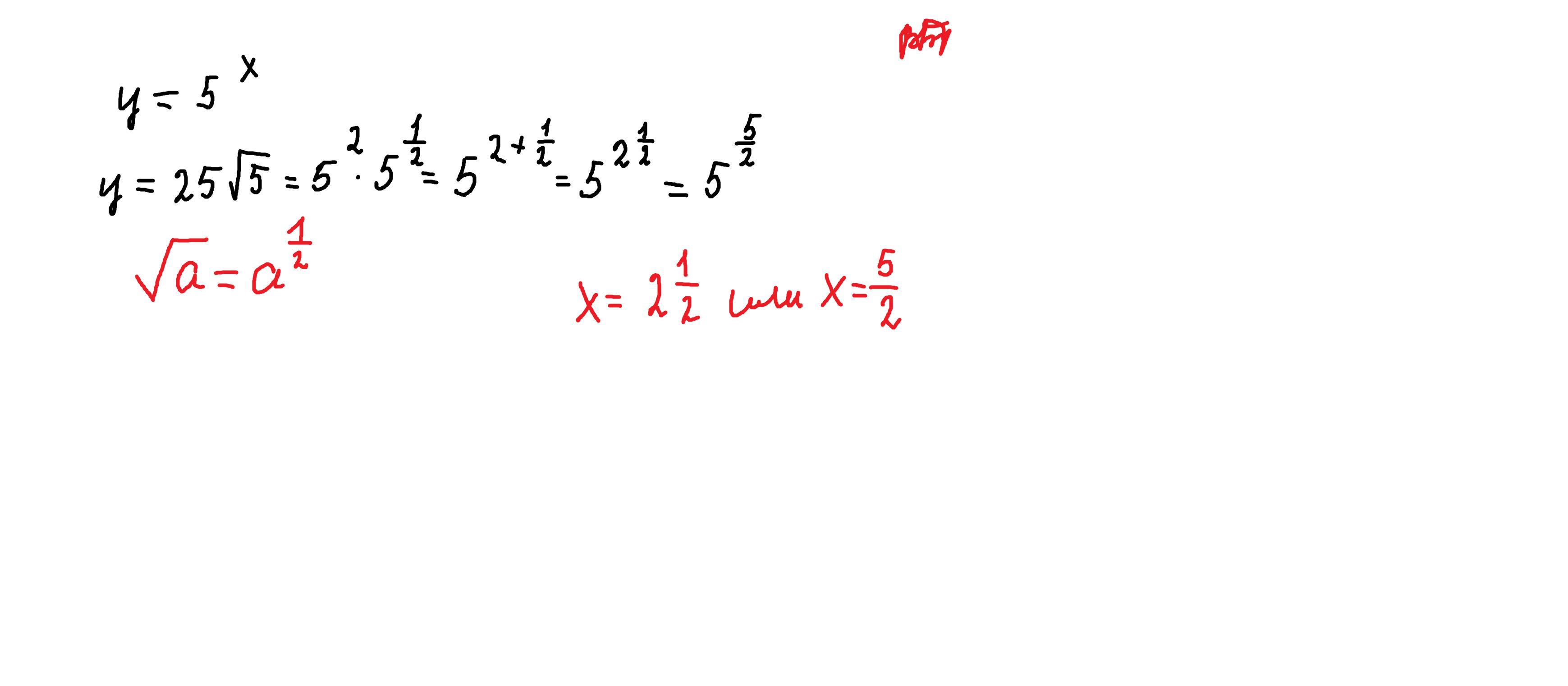
Ответ:
х=2 1/2 или х=5/2
Объяснение:
Приложения:
VITBITIK:
а можете пожалуйста помочь ещё с задачами у меня в профиле?
Похожие вопросы
Предмет: Литература,
автор: manunatashka
Предмет: История,
автор: filozopvalia
Предмет: Литература,
автор: allo0394034953
Предмет: Математика,
автор: oaaoaoaooaoa