Предмет: Физика,
автор: Anna12045678
Даю 100 балів, задача для тих хто розуміє фізику. Сказати варіант відповіді та пояснення.
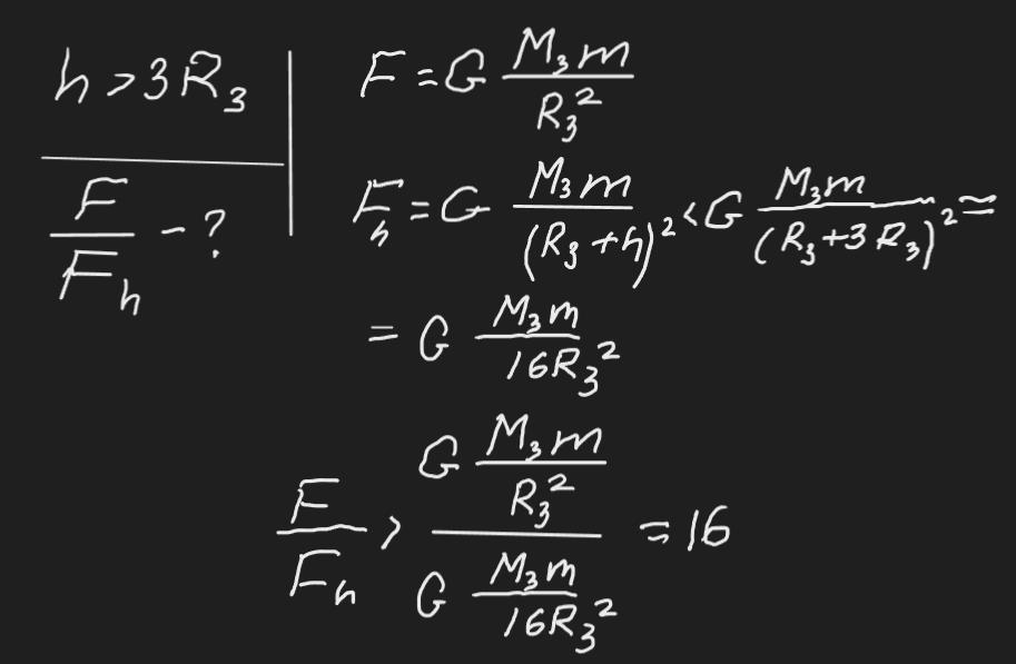
Космічний корабель віддалився від Землі на відстань більшу від радіуса Землі у 3 рази. Як змінилася сила взаємодії між кораблем і Землею?
a) ЗБІЛЬШИЛАСЬ у 3 рази;
б) зменшилась у 3 рази;
в) збільшилась у 16 разів:
г) зменшилась у 16 разів
Ответы
Автор ответа:
1
Відповідь: г) зменшилась у 16 разів
Пояснення: Правильна відповідь: зменшилась більше ніж у 16 разів
Приложения:
Похожие вопросы
Предмет: Қазақ тiлi,
автор: Yadernimuravei
Предмет: Математика,
автор: Damoi228
Предмет: Українська література,
автор: oparinamiroslava1
Предмет: Английский язык,
автор: Аноним
Предмет: Алгебра,
автор: smpetya493