Предмет: Алгебра,
автор: kiriluktaras28
с поясненям даю 30 балов
Приложения:
Ответы
Автор ответа:
0
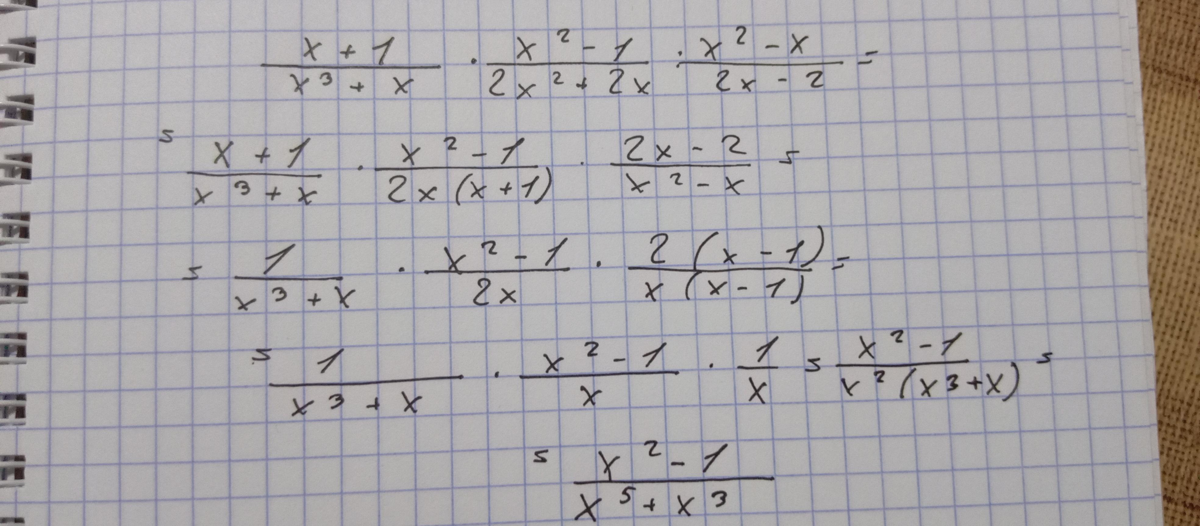
Ответ:x²-1/x^5+x³
Объяснение:
Приложения:
Похожие вопросы
Предмет: Українська література,
автор: akirilkrotz01
Предмет: Литература,
автор: sofiatretyakova
Предмет: Музыка,
автор: Аноним
Предмет: Право,
автор: solomija230104
Предмет: Алгебра,
автор: sofiashipanska