Предмет: Математика,
автор: sviato4kabut
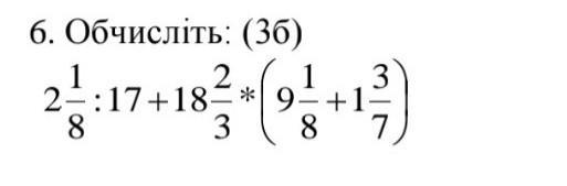
пожалуйста єто срочно!!!!
Приложения:
Ответы
Автор ответа:
0
Ллллллллллллллллллллл
Приложения:
Похожие вопросы
Предмет: Математика,
автор: olm7817
Предмет: Другие предметы,
автор: gachalifetyopan
Предмет: Қазақ тiлi,
автор: abdrasitkausar0
Предмет: Русский язык,
автор: annanaumovic870
Предмет: Биология,
автор: sabrinachocolate