Предмет: Математика,
автор: milamilanova714
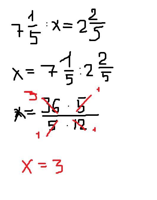
7 1/5:х=2 2/5 яке рішення
Ответы
Автор ответа:
1
Ответ:
Пошаговое объяснение: в закрепе
Приложения:
Похожие вопросы
Предмет: Українська мова,
автор: owerid3310
Предмет: Биология,
автор: yudyehe194
Предмет: Математика,
автор: Аноним
Предмет: Химия,
автор: kesha200512
Предмет: Физкультура и спорт,
автор: seyidovm1971