Предмет: Математика,
автор: shestakovadarya
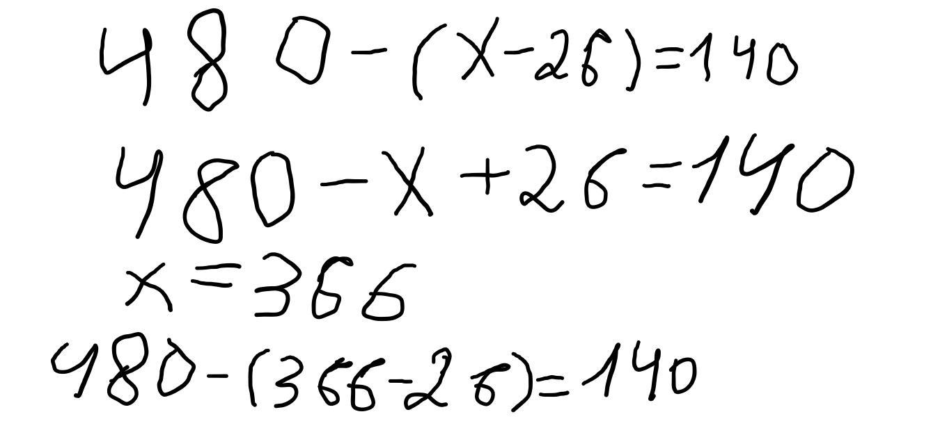
розв'яжи рівняння.Зроби перевірку а) 480-(х-26)=140 б) 540+(750-х)=860
Ответы на фото
Приложения:
Ответы
Автор ответа:
1
Ответ:
а) 366 б)430
Пошаговое объяснение:
решение смотри на фотографии
Приложения:
shestakovadarya:
спасибо
Автор ответа:
1
Ответ:
а)366; б)430
Пошаговое объяснение:
на фотках
Приложения:
Похожие вопросы
Предмет: Другие предметы,
автор: aisamadiar9
Предмет: Информатика,
автор: malinapolina864
Предмет: Химия,
автор: mariacerevko707
Предмет: История,
автор: Аноним
Предмет: Математика,
автор: mavludovazarina