Предмет: Математика, автор: f430

Мне надо срочно! Даю 40 балов

Приложения:

kozakgd8: Срочно не выйдет

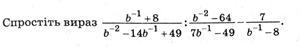
Ответы

Автор ответа: Geniya01
0
решение на фото, надеюсь понятно
Приложения:
Похожие вопросы
Предмет: Українська мова, автор: maksimtanker1
Тестові завдання до теми

"Частка як службова частина мови"


1. Укажіть рядок із формотворчою часткою

А не

Б майже

В би

Г хоч

2. Укажіть рядок із формотворчою часткою

А нехай

Б чи

В таки

Г ані

3. Укажіть рядок із заперечною часткою

А б

Б хай

В уже

Г ні

4. Укажіть рядок із заперечною часткою

А невже

Б не

В навіть

Г бо

5.Укажіть рядок із модальною часткою

А б

б би

В хай

В лише

6. Укажіть рядок із модальною часткою

А ані

Б не

В аякже

Г нехай

7. Укажіть рядок, у якому всі частки пишуться разом

А аби/який, що/сили

Б чекай/но, коли/сь

В тому/то, усе/ж

Г казна/хто, хотілося/б

8. Укажіть рядок, у якому всі частки пишуться разом

А поки/що, кого/сь


Б ані/скільки, чим/дуж

В навряд/чи, знайшов/таки

Г бозна/чому, або/що

9. Укажіть рядок, у якому всі частки пишуться через дефіс

А мов/би, нехай/пише

Б аяк/же, хтозна/де

В хто/небудь, казна/де

Г купаєть/ся, тому/то

10. Укажіть рядок, у якому всі частки пишуться через дефіс

А усе/ж/таки, казна/чому

Б хотілося/б, он/де

В як/раз, хоча/б

Г де/небудь, прийшов/таки

11.Укажіть рядок, у якому частки пишуться окремо

А купив/би, хай/росте

Б ані/трохи, аби/куди

В хтозна/як, як/от

Г зроби/но. котрий/сь

12. Укажіть рядок, у якому частки пишуться окремо

А будь/хто, якось/то

Б таки/виконав, аби/з/чого

В ні/з/якими, вітати/ся

Г тільки/що, який/небудь