Предмет: Математика,
автор: Аноним
даю 30 баллов помогите пожалуйста срочно
Приложения:
Ответы
Автор ответа:
1
Ответ:
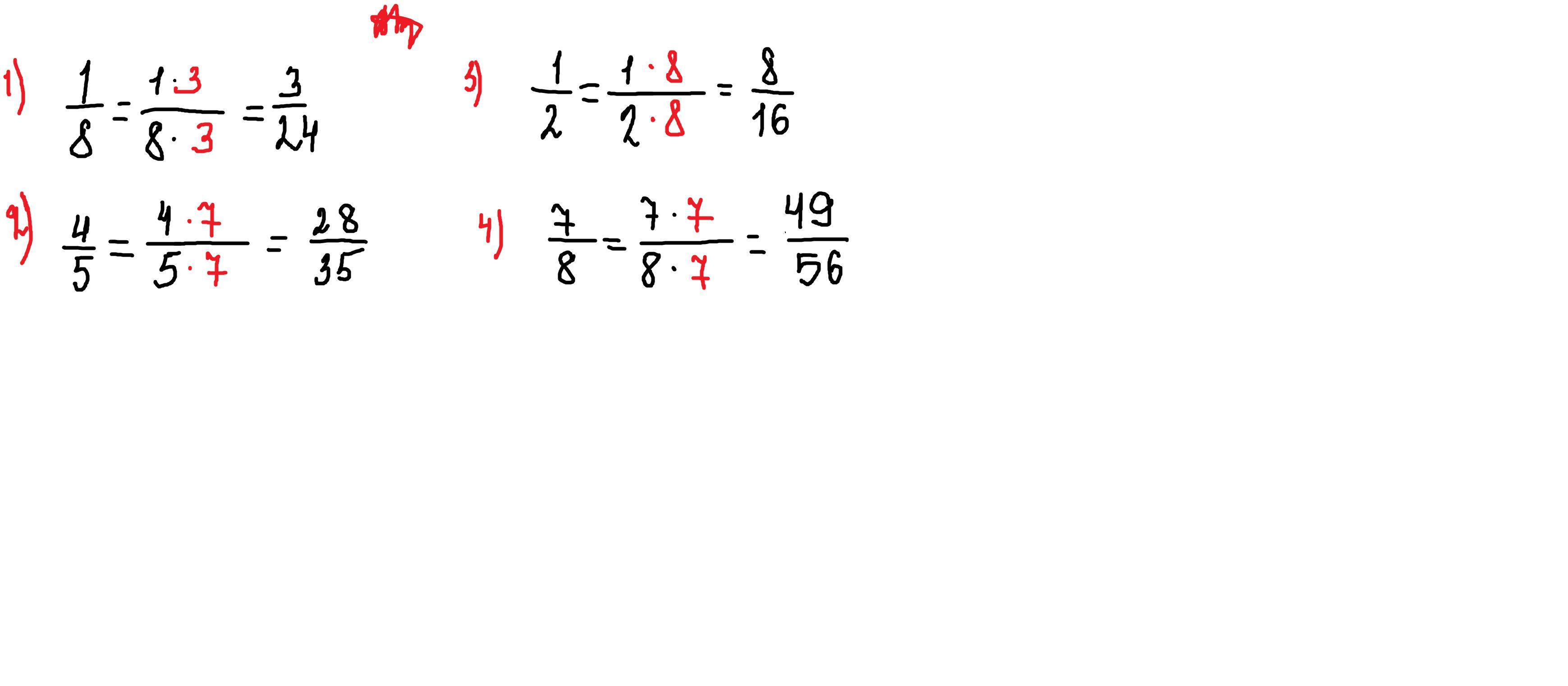
1) 1/8 = 3/24
Тебе нужно в знаменателе получить 24, а оно равно произведению 3 и 8, поэтому умножаешь дробь на 3
(1/8) * 3 = 3/24
2) 4/5 = 28/35
Однако можно разложить числитель и знаменатель на множители
28 = 4 * 7
35 = 5 * 7
Здесь общий множитель - 7
Значит (4/5) * 7 = 28/35
3) 1/2 = 8/16
Можно и разделить числитель на числитель или знаменатель на знаменатель
8/1 = 8
16/2 = 8
(1/2) * 8 = 8/16
4) 7/8 = 49/56
49/7 = 7
(7/8) * 7 = 49/56
YNread:
Я не знаю, не посмотрел
Автор ответа:
1
Ответ:
Пошаговое объяснение:
число,на которое умножали,записано красным цветом
Приложения:
Похожие вопросы
Предмет: Геометрия,
автор: boom81544
Предмет: Алгебра,
автор: daniil20091705
Предмет: Алгебра,
автор: gnazar9641
Предмет: Математика,
автор: osadcadaria4
Предмет: Алгебра,
автор: sonyamalinkina265