Предмет: Математика, автор: matvijtomkiv

Допоможіть будь ласка
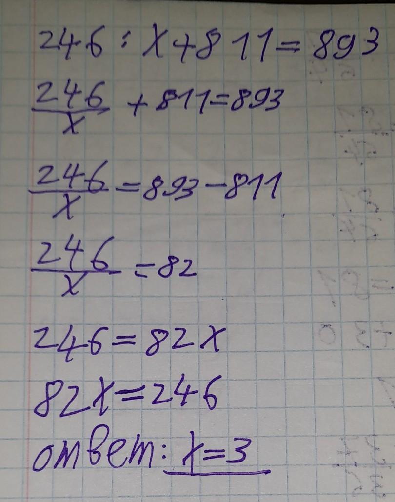
Розв'язання рівнянь.
246:х+811= 893
2

Ответы

Автор ответа: shorom
0

Ответ:

дивись на фотографію

Пошаговое объяснение:

подпишись пж

Приложения:
Похожие вопросы
Предмет: История, автор: robloxmen62
Поставити у відповідність держави та станові органи управління доби середньовіччя:
*
2 балла
рейхстаг Генеральні штати Парламент кортеси
Англія
Іспанія
Священна Римська імперія
Франція
Англія
Іспанія
Священна Римська імперія
Франція
Поставити події в хронологічній послідовності:
*
2 балла
створення Генеральних штатів війна «Червоної» та «Білої» троянд початок Столітньої війни підписання «Великої хартії вольностей»
1
2
3
4
1
2
3
4
Співвіднесіть правителя і державу
*
2 балла
Московське князівство Османська імперія Імперія Великих Моголів Монгольська держава
Бабур
Батий
Мехмед II
Іван III
Бабур
Батий
Мехмед II
Іван III
До якого стилю належить зображена будівля?
*
1 балл
Подпись отсутствует
античний
готичний
романський
візантійський
Церква остаточно розділилася на римо-католицьку та православну у
*
1 балл
1054 р.
1223 р.
1445 р.
1450 р.
Інша назва епохи Відродження
*
1 балл
Гуманізм
Ренесанс
Класицизм
Модернізм
Хто об’єднав усі мад’ярські племена в єдину державу і в 1000 р. корону­вався?
*
1 балл
Андраш II;
Арпад;
Бела IV;
Іштван I Святий.
Вкажіть дату першої згадки про Москву.
*
1 балл
1147р.
1249р.
1435р.
1151р.
У 1480 р. тиждень стояли два війська на протилежних берегах річки, не наважуючись розпочати битву. Це протистояння монгольських і руських військ дістало назву
*
1 балл
«Битва на Синіх Водах»
«Стояння на Угрі»
«Льодове побоїще»
«Битва на Калці»