Предмет: Математика,
автор: Аноним
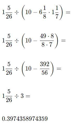
7. Знайдіть значення виразу 1 5/26:(10-6 1/8•1 1/7) пжжжж
Ответы
Автор ответа:
1
Ответ:
Пошаговое объяснение:
все на фото
Приложения:
Похожие вопросы
Предмет: Литература,
автор: anime2024
Предмет: Физика,
автор: vladkashper2008
Предмет: География,
автор: bogdantkacuk11
Предмет: Қазақ тiлi,
автор: nuraiisenova
Предмет: Математика,
автор: janazadorozna0