Предмет: Математика,
автор: dgamkrelidze7
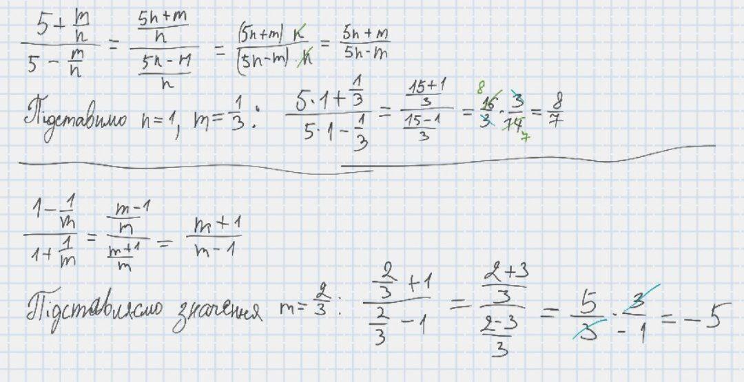
Спростіть вираз і найдіть його значення (1, 2 завдання) срочно даю 95 балов
Приложения:
Ответы
Автор ответа:
1
Відповідь:
Усе на світлині знизу.
Приложения:
Похожие вопросы
Предмет: Химия,
автор: Sasha9002
Предмет: Математика,
автор: petia25lavrenyk
Предмет: Литература,
автор: elnarjokerryolchiyev
Предмет: История,
автор: silkinroma001
Предмет: Українська мова,
автор: shulkovaol