Предмет: Алгебра,
автор: Аноним
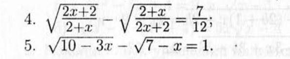
Решите уравнение пожалуйста
Приложения:
Ответы
Автор ответа:
1
ответы 100% верные, проверял
PS по идее, надо еще сделать проверку в 4 номере, тк может случиться так, что там вообще нет корней(как было в 5 номере, что оба корня входили в нужную нам область, но только при одном из корней получалось заданное равенство), но спойлер: в 4 номере так не случится
Приложения:
Похожие вопросы
Предмет: Окружающий мир,
автор: derlukdima750
Предмет: Алгебра,
автор: Dyynn
Предмет: Алгебра,
автор: nazarbilousov6
Предмет: Математика,
автор: uschichina27
Предмет: Окружающий мир,
автор: alibektasimov324