Предмет: Алгебра,
автор: rmasnikov97
Отдам 30 баллов! Помогите с алгеброй!
Приложения:
Ответы
Автор ответа:
0
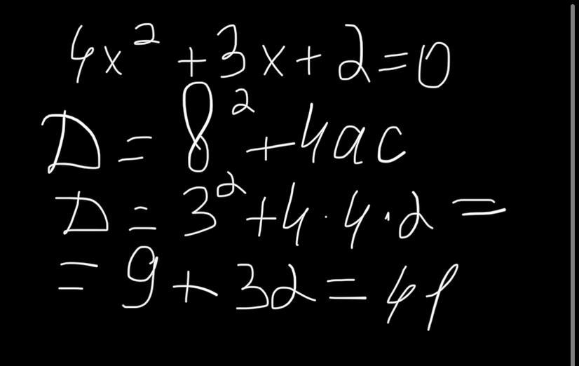
на фотографии~~~~~~~~~~
Приложения:
shonovvdias:
почему там +?!
ой
-23
Автор ответа:
0
Ответ:
D=9-32=-23
Объяснение:
D=b²-4ac
a=4; b=3; c=2
D=9-4*4*2
Похожие вопросы
Предмет: Химия,
автор: Аноним
Предмет: История,
автор: agentus9321
Предмет: Математика,
автор: adventure18200
Предмет: Литература,
автор: sonyamilich10
Предмет: История,
автор: voroninivan449