Предмет: Математика,
автор: Аноним
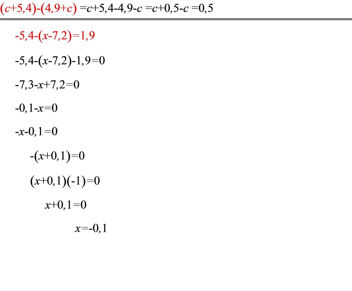
номер 2 упростите выражение все увидете на фото
и номер 3 решите уравнение тоже увидете на фото
Приложения:
Ответы
Автор ответа:
0
файл
=======================
Приложения:
Автор ответа:
0
2) 10,3..если решать не надо, то просто раскрой скобки.у меня в решении есть
3) Ответ -0,1
Приложения:
Похожие вопросы
Предмет: Геометрия,
автор: ilafedotov5711
Предмет: Алгебра,
автор: prostoakk28
Предмет: Українська література,
автор: pavlishko
Предмет: Алгебра,
автор: Cofia