Предмет: Математика,
автор: kovankokira
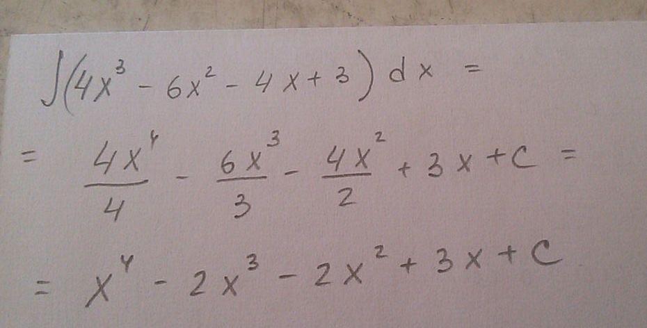
интеграл(4х^3-6х^2+4х-3)dx
Ответы
Автор ответа:
1
Пошаговое объяснение:
Вроде бы так... Надеюсь правильно..
Приложения:
kovankokira:
Большое спасибо но + - расположены в другом порядке, но спасибо)
Похожие вопросы
Предмет: Українська мова,
автор: kirapolon196
Предмет: История,
автор: sonyabond0403
Предмет: Английский язык,
автор: alyonanikonova69
Предмет: Биология,
автор: mlpoknmnkopl
Предмет: Математика,
автор: ldjsjeo