Предмет: Алгебра,
автор: bicerloved
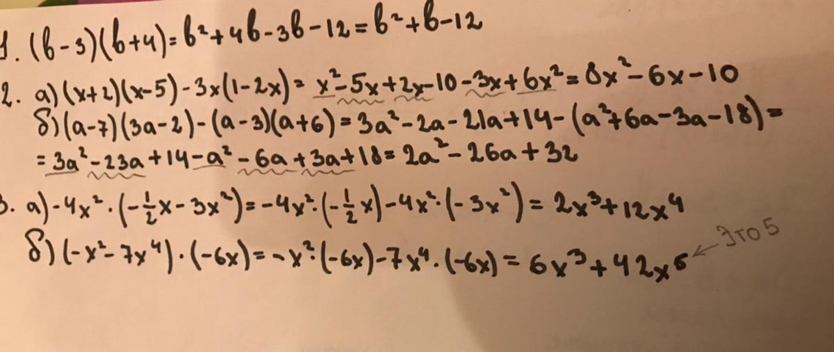
фото прикріпила! пж допоможіть! даю 100 балів! буду дуже вдячна за відповідь!
Приложения:
Ответы
Автор ответа:
1
....................
Приложения:
bicerloved:
якщо є час виріши пж і друге моє запитання
воно є на акаунті
Похожие вопросы
Предмет: Математика,
автор: tanazinich
Предмет: Биология,
автор: evaberezovskaayaa
Предмет: Математика,
автор: maksimtrofimcuk49
Предмет: Математика,
автор: ekaterina3864
Предмет: Английский язык,
автор: Ернур2009