Предмет: Математика,
автор: kottik1710
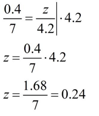
знайдіть невідомий член пропорції 0,4/7 = z/4,2
Ответы
Автор ответа:
3
Ответ:
Пошаговое объяснение:
0,4/7 = z/4,2
7 * z = 4,2 * 0,4
7z = 1,68
z = 1,68 : 7
z = 0,24
Автор ответа:
1
Відповідь:
z=0.24
Покрокове пояснення:
пошагово на кртинке
Приложения:
Похожие вопросы
Предмет: Алгебра,
автор: Pelmeshka328
Предмет: Українська мова,
автор: maksimakalovskij
Предмет: Українська мова,
автор: Аноним
Предмет: Қазақ тiлi,
автор: AidaKarimova777
Предмет: История,
автор: Аноним