Предмет: Математика,
автор: lybkivskyiyra
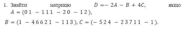
Ось тут!!!!!!!!!!!!!!!!!!!
Приложения:
Ответы
Автор ответа:
2
Ответ:
Пошаговое объяснение:
детали во вложении; проверка не проводилась.
Приложения:
lybkivskyiyra:
Дякую велике!!!
Допоможіть будь ласка ще з ось цим https://znanija.com/task/50880798 , Це останнє
Там уже закрыты ответы (кто-то дал спам).
Похожие вопросы
Предмет: Українська література,
автор: vitakackova14
Предмет: Математика,
автор: timkobelev2009
Предмет: Математика,
автор: anatoliykaray11
Предмет: Математика,
автор: Аноним
Предмет: Математика,
автор: savcenkokarina37