Предмет: Алгебра,
автор: RamaII
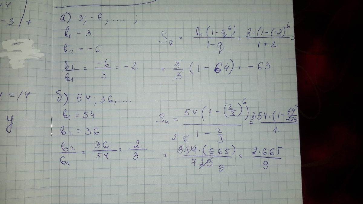
найдите сумму первых шести членов геометрической пргрессии а)3;-6...; б)54;36;...; тема формула суммы первых n членов геометрической пргрессии
Ответы
Автор ответа:
0
"""""""""""""""""""""""""""""""""""""""""""""""""
Приложения:
Похожие вопросы
Предмет: Химия,
автор: julia200331
Предмет: Русский язык,
автор: akbotakazdenbekova
Предмет: География,
автор: mumiguli1973
Предмет: Алгебра,
автор: начитанный
Предмет: Алгебра,
автор: Касенбаева